機械密封密封環結構的主要尺寸
機械密封密封環結構的主要尺寸:
圖2-11表示動、靜環的主要尺寸,有密封端面寬度b、端面內直徑D1和外直徑D2,還有端面凸臺髙度e和動、靜環與軸〈或軸套〉的配合間隙。
密封環端面常用軟、硬兩種不同的材料配對。窄環常用軟材料,寬環常用硬材料,這樣可以避免磨損后硬環嵌人軟環。在強度、剛度允許的前提下,端面寬度b(其值為
)應盡量選取較小值,過大時冷卻、潤滑效果不好。但也不宜過小,否則會使端面壓力增加,溫度升高,磨損加劇。此外,選擇時也應考慮密封工作的條件,如遇旋轉頻率高、易揮發介質和氣體環境時,都應適當減小端面寬度,有利于潤滑和改善導熱狀況。窄環端面寬度b的參考值見表2-5。
表2-5窄環端面寬度b參考值

在設計端面寬度時,硬環端面寬度應比軟環大1~3mm如當動環和靜環均為硬材料時,兩者可取相同的寬度。端面凸臺高度e,一般取2~3mm,石墨、填充聚四氟乙烯、青銅等可取碳化鎢可取2mm。在設計凸臺時,主要考慮其強度和耐磨性。
當確定好載荷系數K、端面寬度b及平衡直徑
后,可計算端面內徑心
:
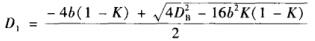
內流平衡型密封
![]()
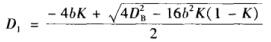
外流平衡型密封
![]()
非平衡型密封
![]()
在平衡型密封與非平衡型密封兩種情況下,端面外直徑
![]()
對于密封環與軸(或軸套)的配合間隙,動環與靜環取值不同。對于動環,雖然與袖無相對運動,但為了保證具有一定浮動性以補償軸(或軸套)與靜止環的偏斜和軸(或軸套)振動等影響,取直徑間隙~e1為0.5〜1mm。對于靜環,因它與軸(或軸套)有相對運動,其間隙值應取稍大些,一般取值約為2e1值。密封環端面摩擦副的平面度一般應小于或等于0.9
。為防止摩擦面粘著,減小啟動轉矩,兩密封端面需具有不同的粗糙度值(見表2-6)。
表2-6摩擦副端面粗糙度(Rs)取值

雙端面金屬波紋管機械密封
本文源自http://m.car-camera.cn/news/564.html,轉載請注明出處。
(責任編輯:機械密封http://m.car-camera.cn)
上一篇:機械密封的密封環結構 下一篇:機械密封端面密封副(摩擦副)的設計計算
- 上一篇:機械密封的密封環結構
- 下一篇:機械密封端面密封副(摩擦副)的設計計算
機械密封熱門文章
機械密封文章推薦
最新資訊
- 2023-07-04· 機械密封的保養與維修方法
- 2023-06-30· 機械密封的保養與維修方法
- 2023-06-29· 機械密封的運行原理及其特點
- 2023-06-29· 機械密封的密封材料與密封性
- 2023-06-28· 機械密封的安裝及維護方法
- 2023-06-26· 機械密封的密封原理及其應用
聯系我們
浙江生產基地:浙江嘉善環城東路硅谷開發區(赤盾科技園)
嘉興銷售及技術支持中心:嘉興市環北西路經濟開發區
國內24小時銷售人員電話:15990310020
國內24小時技術支持:13917573091
電子郵件:1050760236@qq.com
jxchishidun@163.com
即時聊天工具:QQ: 1050760236
微信:15990310020
網址:m.car-camera.cn



