外流式波紋管機械密封參數
外流式波紋管機械密封參數:
外流式波紋管機械密封及波紋管受內壓時的有效直徑見圖1-6。
圖1-6外流式波紋管機械密封及波紋管受內壓時的有效直徑

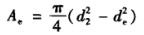
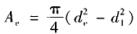
波紋管機械密封的有效作用面積Ae為
對于內流式![]()
對于外流式![]()
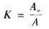
流體壓力作用在補償環上,使之對于非補償環趨于閉合的有效作用面積炎與密封面名義接觸面積A之比為載荷系數K(即面積比B),反映了密封端面的承載能力,即
![]()
對于內流式機械密封與外流式機械密封,流體作用的有效面積不相同,在此分別令A1、A2為外流式機械密封與內流式機械密封流體作用的有效面積。
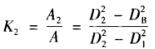
內流式機械密封的載荷系數K(面積比B)
![]()
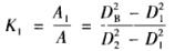
外流式機械密封的載荷系數K(面枳比B)
![]()
H12N機械密封
本文源自http://m.car-camera.cn/news/525.html,轉載請注明出處。
(責任編輯:機械密封http://m.car-camera.cn)
上一篇:機械密封的各參數示意圖 下一篇:機械密封的平衡型式
- 上一篇:機械密封的各參數示意圖
- 下一篇:機械密封的平衡型式
機械密封熱門文章
機械密封文章推薦
最新資訊
- 2023-07-04· 機械密封的保養與維修方法
- 2023-06-30· 機械密封的保養與維修方法
- 2023-06-29· 機械密封的運行原理及其特點
- 2023-06-29· 機械密封的密封材料與密封性
- 2023-06-28· 機械密封的安裝及維護方法
- 2023-06-26· 機械密封的密封原理及其應用
聯系我們
浙江生產基地:浙江嘉善環城東路硅谷開發區(赤盾科技園)
嘉興銷售及技術支持中心:嘉興市環北西路經濟開發區
國內24小時銷售人員電話:15990310020
國內24小時技術支持:13917573091
電子郵件:1050760236@qq.com
jxchishidun@163.com
即時聊天工具:QQ: 1050760236
微信:15990310020
網址:m.car-camera.cn



